合作客戶/
拜耳公司 |
同濟大學 |
聯合大學 |
美國保潔 |
美國強生 |
瑞士羅氏 |
相關新聞Info
推薦新聞Info
-
> 強紫外線輻射對減縮劑抑製水泥石幹縮變形效果研究(一)
> 無機粒子對TPAE界麵張力、發泡、抗收縮行為的影響(四)
> 無機粒子對TPAE界麵張力、發泡、抗收縮行為的影響(三)
> 無機粒子對TPAE界麵張力、發泡、抗收縮行為的影響(二)
> 無機粒子對TPAE界麵張力、發泡、抗收縮行為的影響(一)
> 弱堿三元采出液油水界麵動態界麵張力、強度、等特性研究
> 植保無人機噴頭和噴霧助劑對藥液表麵張力、霧滴密度、覆蓋率的影響(二)
> 植保無人機噴頭和噴霧助劑對藥液表麵張力、霧滴密度、覆蓋率的影響(一)
> 無人機噴霧作業下荔枝葉片上的表麵張力、接觸角及霧滴沉積特性
> 不同界麵張力-潤濕性組合的滲吸液體係對於化學滲吸效果的影響規律
液體混合物表麵張力計算公式
來源: 瀏覽 1249 次 發布時間:2023-06-06
液體混合物表麵張力數據是過程和理論研究所必需的基礎數據,對於液體混合物表麵張力測定、關聯和推算已成為化工和理論研究的重要課題。下麵分享液體混合物表麵張力計算公式。
UNIFAC模型
UNIFAC功能基團活度係數模型是UNIQUAC(Universal Quassi-Chemical)模型基團化的結果。UNIQUAC模型是Abrams和Pranusniz在1975年根據液體胞腔理論、Guggenhein的似化學方程(quasi-chemical equation)並結合Wilson局部組成概念發展而成。它是基團貢獻法的成就之一,它的基本思想是把混合物種組分的活度係數與組分之間的能量相互作用參數聯係起來,當使用這些參數推算在遠離臨街條件下非電解質液體混合物的活度係數時,除係統溫度和壓力外僅需知道混合物中各組分的分子結構和必要的集團參數,並不需要有關聯特定的混合物的實驗數據。
Butler方程
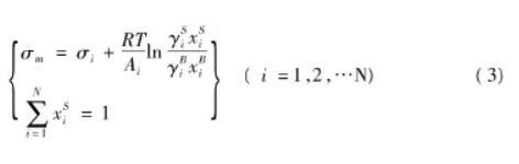
大多數關於液體混合物表麵張力的描述都是建立在將液體表麵層看作是一個氣液相之間的獨立的體係的假設之上的,基於這一假設,結合經典熱力學理論,可導出關於液體混合物表麵張力的計算公式Bulter首先於1932年從熱力學理論出發,導出液體混合物表麵張力的理論公式:
式中σm代表液體混合物表麵張力,σi是純組分i的表麵張力,Ai和分別為組分的摩爾表麵積,和分別是組分表麵相和體相中的活度,R為氣體常數,T是體係的絕對溫度,N為體係的組分數。為了使UNIFAC模型與Buttler方程相結合,實現UNIFAC基團貢獻法對液體混合物表麵張力的推算,本文利用兩個基本假設:
式中Vi是純組分i的液體摩爾體積,N為Avogadro常數(6.023×1023)。
從假設(1)可得到如下方程組:
計算結果顯示采用此方法對液液體係的表麵張力的推算改進不明顯。誤差原因:1)偏摩爾表麵積;2)數據來源使用的是通過氣液數據進行回歸參數,如果采用寫體混合物表麵張力的實驗數據進行回歸效果會好;3)計算的體係較少。





